What is wave energy?
By Drstuess on 12/15/2023
If you use the iOS or webapp you may have noticed that an additional value has been added next to the swell components. If you have noticed this, first, thank you for using the app, but you my also be wondering wtf is a kilojoule (kJ) and why should I care?
Figure 1: Wave energy metrics (kJ) for swell components
The answer to the first question is fairly easy; a kilojoule is not a Gen Z smoking device but a measure of energy. As for why should I care? That takes a bit longer to explain, so hopefully you continue reading. In summary, most surfers know that a swell with more period will be bigger and more powerful when it reaches your local break. But how do you quantify this? How do you compare swells of different period, or both different period and height? How do you anticipate how buoy swell height will translate to breaking wave height? That is where wave energy comes in, as a single metric translating the effects of both swell height and period. This is something that many people already do having built their own mental models based on their experience. If you are good, your mental models will be better than a single value like energy and incorporate things like swell angle and particulars for a specific spot. Regardless, wave energy still holds utility as the fundamental value of wave propagation and quantifies the affects of both period and swell height. As such, Playbuoy has recently added swell energy to provide another tool in the forecasting toolbox. This blog aims to give a little background on swell energy and hopefully help Playbuoy users make the most of this added data.
Physicists define energy as the capacity of something to do "work". "Work" in the context of surfing is a waves ability to grow as it shoals, throw and unleash power as it breaks, and propel a surfer down the line-- or when a mistake is made into the reef. Intuitively most will understand the implications of more energy and power, but what makes a swell have energy and what does a wave energy value mean?
What makes a swell have energy? There are two contributors to swell energy: kinetic energy from the movement of the water and gravitational potential energy from the water being raised higher against earth's gravity. Both of these sources of energy can be calculated from the tangible and familiar metrics of swell height and period.
Figure 2: Each bit of water in a wave has gravitational and kinetic energy. The total swell energy is the sum of the energy of each bit of swell in the wave.
Swell Gravitational Potential Energy At any instant, an ocean swell has some degree of height will have potential energy from earths gravity. This is apparent to any surfer eyeing a cleanup set poised to break on their head; gravity can swiftly translate a column of water into a thrashing. Gravitational potential energy of a wave element is calculated by multiplying the mass of the piece of water by its height (vs a baseline) and then by the strength of gravity at earth's surface. As each bit of water in a wave has a different height, this calculation is performed over the full volume of the wave. The total gravitational potential energy of a wave is the sum of the potential energy of each bit of water in a wave.
Wave Kinetic Energy
Each ocean molecule in a wave also has kinetic energy from its motion. Kinetic energy is (1/2) times the mass times the square of velocity. This applies to each bit of water in the wave as each bit has a different instantaneous velocity and the total kinetic energy is the sum of the kinetic energy of each bit of water in the wave.
Figure 3: Deepwater wave water motion. Source: University Hawaii Manoa
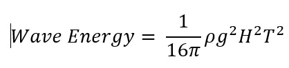
If you are interested, the formulas for the potential, kinetic, and total energy of a wave are shown below. Note these energies are per meter of wave crest width (the direction parrallel to shore)

Wave Height (H) Taller waves have more mass, that mass is higher, and that mass moves faster for a given period. The velocity aspect becomes clearer when looking at the motion of the water in a wave (Figure 3). The end result is energy increases by the square of wave height, meaning doubling wave height creates a 4x increase in energy. Wave Period (T) Longer period waves move faster and have more mass at a given wave height, resulting in increasing kinetic and potential energy. The result also is a power two relationship to period, where doubling of wave period quadruples the energy of an individual wave.
Some folks have described wave energy just as how powerful a wave "feels", or whether it is mushy or not. Sure, it can indicated that, but the reality is that wave energy provides that and much more, including a tool to directly translate buoy swell readings to breaking wave height. This is done through the concept of conservation of energy and energy flux. Buoy readings are often far from shore and in deep water, free from the interactions with the bottom that make a wave grow before it breaks. As waves travel towards shore and enter shallower water, their wavelength shortens and period comes down. They lose a little energy in the process, but generally you can expect energy flux to be conserved. When looking at the equation for wave energy you can see that if you hold energy constant and reduce the period, the wave height must increase. The energy from longer period waves extends deeper in the water column so their wavelength shortens more as they approach shore. In this process, the wave energy value serves as an indicator too how large ocean swells will be when they reach shallower water. Ultimately the size of a breaking wave is complex and relies on the specifics of a spots bathymetry (refraction, slope, ets), but wave energy is a useful parameter in translating off-shore buoy readings to what you will see at the beach.
Figure 4: offshore swells increasing in height as they hit shallower water
Examples The equations can be shown in action with some examples. First the wave energy for two different swells of the same height, but different periods is shown.
3'@ 8 seconds I went by the local beach the other day when the buoy had a primary component of 3'@ 8 seconds. Using the formulas above, this translates to an energy of approximately 125 kJ. There was a small longboard or fish wave in the thigh to waist range, but pretty weak. 3'@ 16 seconds I was fortunate enough to travel a few weeks ago and surf a break with some clean groundswell around 3'@ 16 seconds. This translates to an energy of approximately 500 kJ. As expected, doubling the period increased the energy fourfold. This matched my experience; the bigger sets were head+ and broke powerfully top to bottom.
This exercise invites the next question of what amplitude is needed at 8 second period to match the energy of the long period swell? A 6'@ 8 seconds swell also has an energy of 500 kJ.
Please note there are other additional factors which influence the characteristics of breaking waves. For example, the local bathymetry (or shape of the bottom) can impact how waves shoal up and how they break. Therefore, it is recommended to track how your local waves respond to different swells, monitoring energy as well as period, amplitude, direction, and tide.
Conclusions The above calculations apply to an individual wave, indicating the power on tap for a given swell from the perspective of a surfer. This data enhances something most surfers inherently understand: bigger and longer period waves have more power. Wave energy allows surfers quantify the influences of both period and swell height and understand how open ocean swells will manifest as breaking waves. It is not magic however and does not fully replace the more traditional height and period, as certain breaks respond better to different combinations of period, height, and direction.
Additionally and subtly different, the importance of buoy wave energy spectra as a tool to show the superposition (or presence) of multiple swells is discussed in a prior blog. Wave spectra plots are related to, but not directly comparable to the individual wave energy calculation highlighted here (for technical reasons we may or may not later expand upon), but do show the spread of swells over the period spectrum.
A good forecaster uses multiple parameters. Hopefully this overview and the added wave energy features on the site help you to improve your forecasts and understanding of the ocean.